Spm Chemistry Paper 3
Download Pdf Spm Chemistry Paper 3 Answering Techniques 5d0nrxz5v6lz

Super Spm Chemistry Chemistry Paper Shopee Singapore
Myb Spm Chemistry Chemistry Dual Language Paper 1 Year Sasbadi Shopee Singapore
Chemistry Trial Paper 3 Spm Kedah 2006 1 Two Experiments Were C
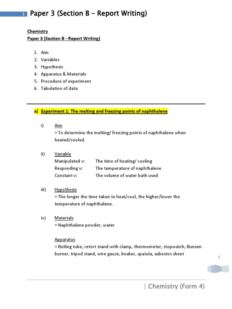
Guidelines On Answering Paper 2 And Paper 3 Questions
Spm Chemistry Paper 3 Section A Mini Course Youtube
Guidelines On Answering Paper 2 And Paper 3 Questions
Exp List Spm Chemical Reactions Electrochemistry
Guidelines On Answering Paper 2 And Paper 3 Questions
Chemistry Paper 3 Sample Alcohol Sulfuric Acid
Chemistry Paper 3 Report Writing Oxide Sodium
Belum ada Komentar untuk "Spm Chemistry Paper 3"
Posting Komentar